New Conversion from cgroup v1 CPU Shares to v2 CPU Weight
I'm excited to announce the implementation of an improved conversion formula from cgroup v1 CPU shares to cgroup v2 CPU weight. This enhancement addresses critical issues with CPU priority allocation for Kubernetes workloads when running on systems with cgroup v2.
Background
Kubernetes was originally designed with cgroup v1 in mind, where CPU shares were defined simply by assigning the container's CPU requests in millicpu form.
For example, a container requesting 1 CPU (1024m) would get (cpu.shares = 1024).
After a while, cgroup v1 started being replaced by its successor, cgroup v2. In cgroup v2, the concept of CPU shares (which ranges from 2 to 262144, or from 2¹ to 2¹⁸) was replaced with CPU weight (which ranges from [1, 10000], or 10⁰ to 10⁴).
With the transition to cgroup v2,
KEP-2254
introduced a conversion formula to map cgroup v1 CPU shares to cgroup v2 CPU
weight. The conversion formula was defined as: cpu.weight = (1 + ((cpu.shares - 2) * 9999) / 262142)
This formula linearly maps values from [2¹, 2¹⁸] to [10⁰, 10⁴].

While this approach is simple, the linear mapping imposes a few significant problems and impacts both performance and configuration granularity.
Problems with previous conversion formula
The current conversion formula creates two major issues:
1. Reduced priority against non-Kubernetes workloads
In cgroup v1, the default value for CPU shares is 1024, meaning a container
requesting 1 CPU has equal priority with system processes that live outside
of Kubernetes' scope.
However, in cgroup v2, the default CPU weight is 100, but the current
formula converts 1 CPU (1024m) to only ≈39 weight - less than 40% of the
default.
Example:
- Container requesting 1 CPU (1024m)
- cgroup v1:
cpu.shares = 1024(equal to default) - cgroup v2 (current):
cpu.weight = 39(much lower than default 100)
This means that after moving to cgroup v2, Kubernetes (or OCI) workloads would de-facto reduce their CPU priority against non-Kubernetes processes. The problem can be severe for setups with many system daemons that run outside of Kubernetes' scope and expect Kubernetes workloads to have priority, especially in situations of resource starvation.
2. Unmanageable granularity
The current formula produces very low values for small CPU requests, limiting the ability to create sub-cgroups within containers for fine-grained resource distribution (which will possibly be much easier moving forward, see KEP #5474 for more info).
Example:
- Container requesting 100m CPU
- cgroup v1:
cpu.shares = 102 - cgroup v2 (current):
cpu.weight = 4(too low for sub-cgroup configuration)
With cgroup v1, requesting 100m CPU which led to 102 CPU shares was manageable in the sense that sub-cgroups could have been created inside the main container, assigning fine-grained CPU priorities for different groups of processes. With cgroup v2 however, having 4 shares is very hard to distribute between sub-cgroups since it's not granular enough.
With plans to allow writable cgroups for unprivileged containers, this becomes even more relevant.
New conversion formula
Description
The new formula is more complicated, but does a much better job mapping between cgroup v1 CPU shares and cgroup v2 CPU weight:
The idea is that this is a quadratic function to cross the following values:
- (2, 1): The minimum values for both ranges.
- (1024, 100): The default values for both ranges.
- (262144, 10000): The maximum values for both ranges.
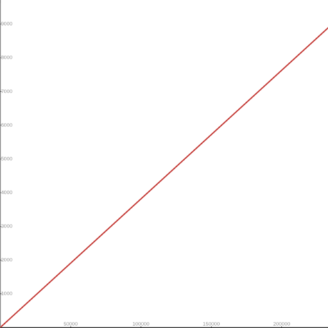
Visually, the new function looks as follows:

And if you zoom in to the important part:

The new formula is "close to linear", yet it is carefully designed to map the ranges in a clever way so the three important points above would cross.
How it solves the problems
Better priority alignment:
- A container requesting 1 CPU (1024m) will now get a
cpu.weight = 102. This value is close to cgroup v2's default 100. This restores the intended priority relationship between Kubernetes workloads and system processes.
- A container requesting 1 CPU (1024m) will now get a
Improved granularity:
- A container requesting 100m CPU will get
cpu.weight = 17, (see here). Enables better fine-grained resource distribution within containers.
- A container requesting 100m CPU will get
Adoption and integration
This change was implemented at the OCI layer. In other words, this is not implemented in Kubernetes itself; therefore the adoption of the new conversion formula depends solely on the OCI runtime adoption.
For example:
- runc: The new formula is enabled from version 1.3.2.
- crun: The new formula is enabled from version 1.23.
Impact on existing deployments
Important: Some consumers may be affected if they assume the older linear conversion formula. Applications or monitoring tools that directly calculate expected CPU weight values based on the previous formula may need updates to account for the new quadratic conversion. This is particularly relevant for:
- Custom resource management tools that predict CPU weight values.
- Monitoring systems that validate or expect specific weight values.
- Applications that programmatically set or verify CPU weight values.
The Kubernetes project recommends testing the new conversion formula in non-production environments before upgrading OCI runtimes to ensure compatibility with existing tooling.
Where can I learn more?
For those interested in this enhancement:
- Kubernetes GitHub Issue #131216 - Detailed technical analysis and examples, including discussions and reasoning for choosing the above formula.
- KEP-2254: cgroup v2 - Original cgroup v2 implementation in Kubernetes.
- Kubernetes cgroup documentation - Current resource management guidance.
How do I get involved?
For those interested in getting involved with Kubernetes node-level features, join the Kubernetes Node Special Interest Group. We always welcome new contributors and diverse perspectives on resource management challenges.